Calculation of Fast and Slow Infusion Rates
Fast Infusion Rate Constant
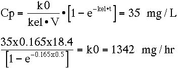
Using the equation for Cp during an infusion, rearrange to solve for k0fast. This will the infusion rate needed to reach 35 mg/L in 30 minutes (0.5 hour).
Slow Infusion Rate Constant
Use the steady state concentration equation rearranged to solve for k0slow. This is the rate constant that should maintain a concentration of 35 mg/L.
Summary
| Parameter
| Value
| Unit
|
| k0fast
| 1342
| mg/hr
|
| k0fast
| 671
| 30 min
|
| k0slow
| 106
| mg/hr
|