Laplace Transform Examples

One Compartment Models

IV Infusion Administration

Derive the Integrated Equation for the Amount of Drug in Urine, X2

The Model

Model with X2 highlighted

Component of Interest - Drug in Urine

Step 1. Write the differential equations

Differential equation for X1

---

Differential equation for X2

Step 2. Transform into the Laplace domain

Laplace equation for X1

---

Laplace equation for X2

Step 3. Rearrange and solve for L(X2)

X1 in the s domain

---

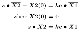
X2 in the s domain

substituting the first term (L(X1)) into the second equation gives

X2 in the s domain

Step 4. Back transform to produce the integrated equation for X2

Integrated equation for X2

using Laplace tables for the back transform

can't the Fingerprint method for the back transform

Back to the Problem Page


Return to Index


return to the Course index


This page was last modified: Sunday, 28th Jul 2024 at 4:43 pm


Privacy Statement - 25 May 2018

iBook and pdf versions of this material and other PK material is available

Copyright © 2001-2022 David W. A. Bourne (david@boomer.org)