Laplace Transform Examples

One Compartment Models

Oral Dose Administration with Absorption from the Stomach and the Intestine

Derive the Integrated Equation for the Amount of Drug in the Body, X3

The Model

Model with X3 highlighted

Component of Interest - Drug in the Body

Step 1. Write the differential equations

---

---

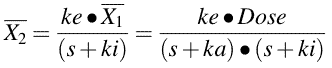
Step 2. Transform into the Laplace domain

Step 3. Rearrange and solve for L(X3)

---

---

Step 4. Back transform to produce the integrated equation for X3

using the Fingerprint method for the back transform

Back to the Problem Page


Return to Index


return to the Course index


This page was last modified: Sunday, 28th Jul 2024 at 4:43 pm


Privacy Statement - 25 May 2018

iBook and pdf versions of this material and other PK material is available

Copyright © 2001-2022 David W. A. Bourne (david@boomer.org)